
急性经口毒性测试仪应用范围:
应用于科研、农业、卫生、教育、雾霾状态可吸入颗粒染毒效果研究等各个领域。

急性经口毒性测试仪符合标准:
GB/T 15670.2-2017部《农药登记毒理学试验方法第2部分:急性经口毒性试验霍恩氏法》
急性经口毒性测试仪实验介绍:
实验目的:
急性经口毒性试验是评估受试物毒性的步。通过短时间经口染毒初步了解受试物的毒性特征和剂量-反应关系,为急性毒性分级、标签管理和其他毒理学试验剂量选择提供依据。
实验概述:
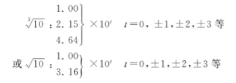
霍恩氏法Horn's method亦称改良维氏法或简化概率单位法。采用几何级数的四个递次剂量。各个剂量组动物数相同,染毒后根据每组动物的死亡数,从计算表格中查找受试物的LD.和95%可信区间。剂量系列递增公比为:

因递增公比√10的剂量系列间距较大,度较差,一般多采用公比为/10的剂量系列。本方法计算方便,简单易行。缺点是LD…估计值不够,可信区间范围较大。但可初步了解受试物的毒性特点。
实验设计方案:
14个剂量组
2每组动物数相等:每组4只或5只
3设计剂量时可根据化学物致死剂量范围的宽窄应用两个剂量系列,其组距分别为2.15倍和3.16倍。根据每组动物数、组距和每组动物死亡数,即可从Horn氏表中查得LD50及其95%可信限
实验优缺点
1使用动物数少;
2可直接从Horn氏表查出LD50及其95%可信限,不需计算,甚为简便。
3但LD50,的95%可信区间范围较大,方法度尚不够。


基本配置:
主机  一台
电源线 一根
说明书 一本
合格证 一个
保修卡 一个
铭牌  一个
天平:选配